|
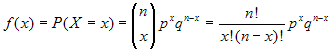
De
binomiale verdeling wordt gebruikt in een situatie waarbij er in
principe twee mogelijkheden zijn: succes of geen succes. De individuele
kansen op deze mogelijkheden zijn de kans op succes (p) en de
kans op geen succes (q = 1 – p). De binomiale verdeling geeft
voor een steekproef ter grootte van n die met terugleggen
wordt getrokken de kans deze x successen bevat. Deze kans wordt
als volgt berekent:

Hieronder staan tabellen met binomiale kansen voor steeds 11
verschillende succeskansen bij n = 5, 10, 20 of 25 en daarbij
alle mogelijke aantallen successen. Er zijn nog ontelbaar veel andere
tabellen mogelijk, maar helaas is het onmogelijk om deze allemaal hier
weer te geven. Voor het berekenen van kansen in situaties waarvoor hier
geen tabel is verwijs ik naar tabellen in de statistische literatuur en
computerprogramma’s (zoals klik hier). Of probeer zelf de formule
in te vullen en uit te rekenen.
|
x |
succes kans p |
|
0,05 |
0,10 |
0,20 |
0,30 |
0,40 |
0,50 |
0,60 |
0,70 |
0,80 |
0,90 |
0,95 |
|
0 |
0,774 |
0,590 |
0,328 |
0,168 |
0,078 |
0,031 |
0,010 |
0,002 |
0,000 |
0,000 |
0,000 |
|
1 |
0,204 |
0,328 |
0,410 |
0,360 |
0,259 |
0,156 |
0,077 |
0,028 |
0,006 |
0,000 |
0,000 |
|
2 |
0,021 |
0,073 |
0,205 |
0,309 |
0,346 |
0,313 |
0,230 |
0,132 |
0,051 |
0,008 |
0,001 |
|
3 |
0,001 |
0,008 |
0,051 |
0,132 |
0,230 |
0,313 |
0,346 |
0,309 |
0,205 |
0,073 |
0,021 |
|
4 |
0,000 |
0,000 |
0,006 |
0,028 |
0,077 |
0,156 |
0,259 |
0,360 |
0,410 |
0,328 |
0,204 |
|
5 |
0,000 |
0,000 |
0,000 |
0,002 |
0,010 |
0,031 |
0,078 |
0,168 |
0,328 |
0,590 |
0,774 |
|
x |
succes kans p |
|
0,05 |
0,10 |
0,20 |
0,30 |
0,40 |
0,50 |
0,60 |
0,70 |
0,80 |
0,90 |
0,95 |
|
0 |
0,599 |
0,349 |
0,107 |
0,028 |
0,006 |
0,001 |
0,000 |
0,000 |
0,000 |
0,000 |
0,000 |
|
1 |
0,315 |
0,387 |
0,268 |
0,121 |
0,040 |
0,010 |
0,002 |
0,000 |
0,000 |
0,000 |
0,000 |
|
2 |
0,075 |
0,194 |
0,302 |
0,233 |
0,121 |
0,044 |
0,011 |
0,001 |
0,000 |
0,000 |
0,000 |
|
3 |
0,010 |
0,057 |
0,201 |
0,267 |
0,215 |
0,117 |
0,042 |
0,009 |
0,001 |
0,000 |
0,000 |
|
4 |
0,001 |
0,011 |
0,088 |
0,200 |
0,251 |
0,205 |
0,111 |
0,037 |
0,006 |
0,000 |
0,000 |
|
5 |
0,000 |
0,001 |
0,026 |
0,103 |
0,201 |
0,246 |
0,201 |
0,103 |
0,026 |
0,001 |
0,000 |
|
6 |
0,000 |
0,000 |
0,006 |
0,037 |
0,111 |
0,205 |
0,251 |
0,200 |
0,088 |
0,011 |
0,001 |
|
7 |
0,000 |
0,000 |
0,001 |
0,009 |
0,042 |
0,117 |
0,215 |
0,267 |
0,201 |
0,057 |
0,010 |
|
8 |
0,000 |
0,000 |
0,000 |
0,001 |
0,011 |
0,044 |
0,121 |
0,233 |
0,302 |
0,194 |
0,075 |
|
9 |
0,000 |
0,000 |
0,000 |
0,000 |
0,002 |
0,010 |
0,040 |
0,121 |
0,268 |
0,387 |
0,315 |
|
10 |
0,000 |
0,000 |
0,000 |
0,000 |
0,000 |
0,001 |
0,006 |
0,028 |
0,107 |
0,349 |
0,599 |
|
x |
succes kans p |
|
0,05 |
0,10 |
0,20 |
0,30 |
0,40 |
0,50 |
0,60 |
0,70 |
0,80 |
0,90 |
0,95 |
|
0 |
0,358 |
0,122 |
0,012 |
0,001 |
0,000 |
0,000 |
0,000 |
0,000 |
0,000 |
0,000 |
0,000
|
|
1 |
0,377 |
0,270 |
0,058 |
0,007 |
0,000 |
0,000 |
0,000 |
0,000 |
0,000 |
0,000 |
0,000 |
|
2 |
0,189 |
0,285 |
0,137 |
0,028 |
0,003 |
0,000 |
0,000 |
0,000 |
0,000 |
0,000 |
0,000 |
|
3 |
0,060 |
0,19 |
0,205 |
0,072 |
0,012 |
0,001 |
0,000 |
0,000 |
0,000 |
0,000 |
0,000 |
|
4 |
0,013 |
0,090 |
0,218 |
0,130 |
0,035 |
0,005 |
0,000 |
0,000 |
0,000 |
0,000 |
0,000 |
|
5 |
0,002 |
0,032 |
0,175 |
0,179 |
0,075 |
0,015 |
0,001 |
0,000 |
0,000 |
0,000 |
0,000 |
|
6 |
0,000 |
0,009 |
0,109 |
0,192 |
0,124 |
0,037 |
0,005 |
0,000 |
0,000 |
0,000 |
0,000 |
|
7 |
0,000 |
0,002 |
0,055 |
0,164 |
0,166 |
0,074 |
0,015 |
0,001 |
0,000 |
0,000 |
0,000 |
|
8 |
0,000 |
0,000 |
0,022 |
0,114 |
0,180 |
0,120 |
0,035 |
0,004 |
0,000 |
0,000 |
0,000 |
|
9 |
0,000 |
0,000 |
0,007 |
0,065 |
0,160 |
0,160 |
0,071 |
0,012 |
0,000 |
0,000 |
0,000 |
|
10 |
0,000 |
0,000 |
0,002 |
0,031 |
0,117 |
0,176 |
0,117 |
0,031 |
0,002 |
0,000 |
0,000
|
|
11 |
0,000 |
0,000 |
0,000 |
0,012 |
0,071 |
0,160 |
0,160 |
0,065 |
0,007 |
0,000 |
0,000 |
|
12 |
0,000 |
0,000 |
0,000 |
0,004 |
0,035 |
0,120 |
0,180 |
0,114 |
0,022 |
0,000 |
0,000 |
|
13 |
0,000 |
0,000 |
0,000 |
0,001 |
0,015 |
0,074 |
0,166 |
0,164 |
0,055 |
0,002 |
0,000 |
|
14 |
0,000 |
0,000 |
0,000 |
0,000 |
0,005 |
0,037 |
0,124 |
0,192 |
0,109 |
0,009 |
0,000 |
|
15 |
0,000 |
0,000 |
0,000 |
0,000 |
0,001 |
0,015 |
0,075 |
0,179 |
0,175 |
0,032 |
0,002 |
|
16 |
0,000 |
0,000 |
0,000 |
0,000 |
0,000 |
0,005 |
0,035 |
0,130 |
0,218 |
0,090 |
0,013 |
|
17 |
0,000 |
0,000 |
0,000 |
0,000 |
0,000 |
0,001 |
0,012 |
0,072 |
0,205 |
0,190 |
0,060 |
|
18 |
0,000 |
0,000 |
0,000 |
0,000 |
0,000 |
0,000 |
0,003 |
0,028 |
0,137 |
0,285 |
0,189 |
|
19 |
0,000 |
0,000 |
0,000 |
0,000 |
0,000 |
0,000 |
0,000 |
0,007 |
0,058 |
0,270 |
0,377 |
|
20 |
0,000 |
0,000 |
0,000 |
0,000 |
0,000 |
0,000 |
0,000 |
0,001 |
0,012 |
0,122 |
0,358 |
|
x |
succes kans p |
|
0,05 |
0,10 |
0,20 |
0,30 |
0,40 |
0,50 |
0,60 |
0,70 |
0,80 |
0,90 |
0,95 |
|
0 |
0,277 |
0,072 |
0,004 |
0,000 |
0,000 |
0,000 |
0,000 |
0,000 |
0,000 |
0,000 |
0,000
|
|
1 |
0,365 |
0,199 |
0,024 |
0,001 |
0,000 |
0,000 |
0,000 |
0,000 |
0,000 |
0,000 |
0,000 |
|
2 |
0,231 |
0,266 |
0,071 |
0,007 |
0,000 |
0,000 |
0,000 |
0,000 |
0,000 |
0,000 |
0,000 |
|
3 |
0,093 |
0,226 |
0,136 |
0,024 |
0,002 |
0,000 |
0,000 |
0,000 |
0,000 |
0,000 |
0,000 |
|
4 |
0,027 |
0,138 |
0,187 |
0,057 |
0,007 |
0,000 |
0,000 |
0,000 |
0,000 |
0,000 |
0,000 |
|
5 |
0,006 |
0,065 |
0,196 |
0,103 |
0,020 |
0,002 |
0,000 |
0,000 |
0,000 |
0,000 |
0,000 |
|
6 |
0,001 |
0,024 |
0,163 |
0,147 |
0,044 |
0,005 |
0,000 |
0,000 |
0,000 |
0,000 |
0,000 |
|
7 |
0,000 |
0,007 |
0,111 |
0,171 |
0,080 |
0,014 |
0,001 |
0,000 |
0,000 |
0,000 |
0,000 |
|
8 |
0,000 |
0,002 |
0,062 |
0,165 |
0,120 |
0,032 |
0,003 |
0,000 |
0,000 |
0,000 |
0,000 |
|
9 |
0,000 |
0,000 |
0,029 |
0,134 |
0,151 |
0,061 |
0,009 |
0,000 |
0,000 |
0,000 |
0,000 |
|
10 |
0,000 |
0,000 |
0,012 |
0,092 |
0,161 |
0,097 |
0,021 |
0,001 |
0,000 |
0,000 |
0,000
|
|
11 |
0,000 |
0,000 |
0,004 |
0,054 |
0,147 |
0,133 |
0,043 |
0,004 |
0,000 |
0,000 |
0,000 |
|
12 |
0,000 |
0,000 |
0,001 |
0,027 |
0,114 |
0,155 |
0,076 |
0,011 |
0,000 |
0,000 |
0,000 |
|
13 |
0,000 |
0,000 |
0,000 |
0,011 |
0,076 |
0,155 |
0,114 |
0,027 |
0,001 |
0,000 |
0,000 |
|
14 |
0,000 |
0,000 |
0,000 |
0,004 |
0,043 |
0,133 |
0,147 |
0,054 |
0,004 |
0,000 |
0,000 |
|
15 |
0,000 |
0,000 |
0,000 |
0,001 |
0,021 |
0,097 |
0,161 |
0,092 |
0,012 |
0,000 |
0,000 |
|
16 |
0,000 |
0,000 |
0,000 |
0,000 |
0,009 |
0,061 |
0,151 |
0,134 |
0,029 |
0,000 |
0,000 |
|
17 |
0,000 |
0,000 |
0,000 |
0,000 |
0,003 |
0,032 |
0,120 |
0,165 |
0,062 |
0,002 |
0,000 |
|
18 |
0,000 |
0,000 |
0,000 |
0,000 |
0,001 |
0,014 |
0,080 |
0,171 |
0,111 |
0,007 |
0,000 |
|
19 |
0,000 |
0,000 |
0,000 |
0,000 |
0,000 |
0,005 |
0,044 |
0,147 |
0,163 |
0,024 |
0,001 |
|
20 |
0,000 |
0,000 |
0,000 |
0,000 |
0,000 |
0,002 |
0,020 |
0,103 |
0,196 |
0,065 |
0,006
|
|
21 |
0,000 |
0,000 |
0,000 |
0,000 |
0,000 |
0,000 |
0,007 |
0,057 |
0,187 |
0,138 |
0,027 |
|
22 |
0,000 |
0,000 |
0,000 |
0,000 |
0,000 |
0,000 |
0,002 |
0,024 |
0,136 |
0,226 |
0,093 |
|
23 |
0,000 |
0,000 |
0,000 |
0,000 |
0,000 |
0,000 |
0,000 |
0,007 |
0,071 |
0,266 |
0,231 |
|
24 |
0,000 |
0,000 |
0,000 |
0,000 |
0,000 |
0,000 |
0,000 |
0,001 |
0,024 |
0,199 |
0,365 |
|
25 |
0,000 |
0,000 |
0,000 |
0,000 |
0,000 |
0,000 |
0,000 |
0,000 |
0,004 |
0,072 |
0,277 |
Voorbeelden
1)
Bij een succeskans van 0,3 is de kans op 6 successen uit 10:
P(X = 6) = 0,37, Zie de tweede tabel, dat is de tabel voor n
= 10.
2)
Bij een succeskans van 0,7 is de kans op minstens 18 successen
uit 20: P(X ≥ 18) = P(X = 18) + P(X = 19) +
P(X = 20) = 0,028 + 0,007 + 0,001 = 0,036, Zie de derde tabel, dat
is de tabel voor n = 20.
3)
Voor welke succeskans is de kans 0,099 dat er tenminste 23 van de
25 een succes zijn? Zie de laatste tabel :
P(X ≥ 23) = P(X = 23) + P(X = 24) + P(X = 25) = 0,071 + 0,024
+ 0,004 = 0,099 voor p = 0,80.
|
|